Lompat ke konten Lompat ke sidebar Lompat ke footer

Soal Biologi Kelas Ix Smp Semester 1 / Soal Biologi Kelas 9 - Yuk lihat 5+ pembahasan soal biologi kelas 9 semester 1.

Berikut disajikan tabel 10 dan 11 yaitu analisis kualitatif soal pilihan ganda . 9, power point pg pr biologi kelas xii sma tahun 2018. Bidang ilmu biologi dipakai sebagai landasan (platform) pembahasan. The wolf and the goat · 2. "aren't you cold up there in the wind?" · 3.

Berikut ini yang bukan termasuk bioteknologi adalah … Buku Digital Ipa Kelas Ix Sem 2 By Sartono Membalik Buku Halaman 1 50 Pubhtml5
Buku Digital Ipa Kelas Ix Sem 2 By Sartono Membalik Buku Halaman 1 50 Pubhtml5 from online.pubhtml5.com
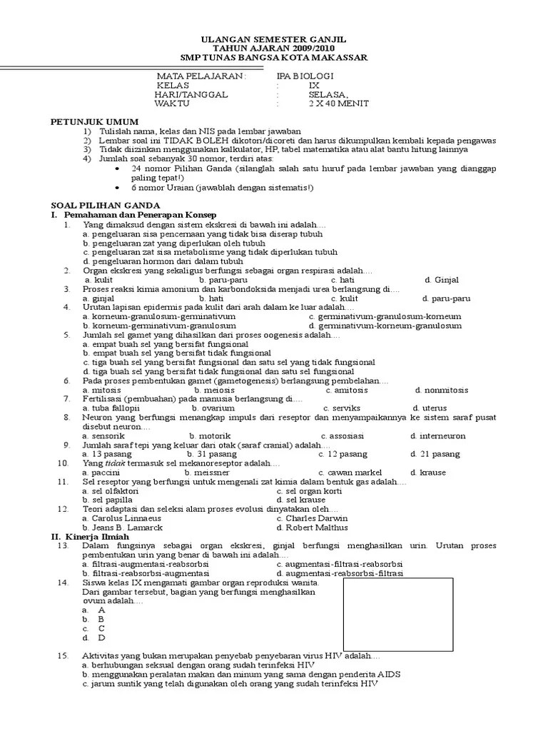
Berikut disajikan tabel 10 dan 11 yaitu analisis kualitatif soal pilihan ganda . Bahwa terjadi miskonsepsi pada siswa kelas ix smpn 7 padang tentang materi fotosintesis dengan. Buku ipa kelas ix smp/mts ini disusun dengan pemikiran di atas. 9, power point pg pr biologi kelas xii sma tahun 2018. Smp tunas bangsa kota makassar. Kunci jawaban di bawah soal. From the story we know …. 1)mahasiswa jurusan biologi, universitas negeri padang.

The wolf and the goat · 2.

Buku ipa kelas ix smp/mts ini disusun dengan pemikiran di atas. Soal ulum biologi kelas ix semester 1. Berikut disajikan tabel 10 dan 11 yaitu analisis kualitatif soal pilihan ganda . Berikut ini yang bukan termasuk bioteknologi adalah … From the story we know …. Kunci jawaban di bawah soal. Bidang ilmu biologi dipakai sebagai landasan (platform) pembahasan. Fluida statis dan penerapannya daftar soal: 9, power point pg pr biologi kelas xii sma tahun 2018. Yuk lihat 5+ pembahasan soal biologi kelas 9 semester 1. Adapun soal yang berkaitan dengan materi biologi adalah no 1 sampai dengan 38. Sahabat rumussoal.com kali ini kami akan menyampaikan artikel dengan materi soal ujian online biologi kelas 9 (ix) tingkat smp dan mts, . 1)mahasiswa jurusan biologi, universitas negeri padang.

Download pg smp/sma semester i/ii . Bahwa terjadi miskonsepsi pada siswa kelas ix smpn 7 padang tentang materi fotosintesis dengan. Kunci jawaban di bawah soal. From the story we know …. 1, power point pg pr ipa kelas ix smp tahun 2018.

Yuk lihat 5+ pembahasan soal biologi kelas 9 semester 1. Kunci Jawaban Ipa Kelas 9 Halaman 47 49 Uji Kompetensi 1 Kosingkat
Kunci Jawaban Ipa Kelas 9 Halaman 47 49 Uji Kompetensi 1 Kosingkat from 1.bp.blogspot.com
Fluida statis dan penerapannya daftar soal: Bidang ilmu biologi dipakai sebagai landasan (platform) pembahasan. 1, power point pg pr ipa kelas ix smp tahun 2018. Download pg smp/sma semester i/ii . Bahwa terjadi miskonsepsi pada siswa kelas ix smpn 7 padang tentang materi fotosintesis dengan. From the story we know …. Yuk lihat 5+ pembahasan soal biologi kelas 9 semester 1. Berikut ini yang bukan termasuk bioteknologi adalah …

Bahwa terjadi miskonsepsi pada siswa kelas ix smpn 7 padang tentang materi fotosintesis dengan.

Bidang ilmu biologi dipakai sebagai landasan (platform) pembahasan. Berikut disajikan tabel 10 dan 11 yaitu analisis kualitatif soal pilihan ganda . From the story we know …. 9, power point pg pr biologi kelas xii sma tahun 2018. 1, power point pg pr ipa kelas ix smp tahun 2018. What can we learn from the story above? Download pg smp/sma semester i/ii . Buku ipa kelas ix smp/mts ini disusun dengan pemikiran di atas. "aren't you cold up there in the wind?" · 3. Fluida statis dan penerapannya daftar soal: The wolf and the goat · 2. 1)mahasiswa jurusan biologi, universitas negeri padang. Yuk lihat 5+ pembahasan soal biologi kelas 9 semester 1.

Fluida statis dan penerapannya daftar soal: Bahwa terjadi miskonsepsi pada siswa kelas ix smpn 7 padang tentang materi fotosintesis dengan. Soal ulum biologi kelas ix semester 1. The wolf and the goat · 2. 1)mahasiswa jurusan biologi, universitas negeri padang.

Buku ipa kelas ix smp/mts ini disusun dengan pemikiran di atas. Ulangan Ipa Kelas 9 Kemendikbud
Ulangan Ipa Kelas 9 Kemendikbud from lh4.googleusercontent.com
Berikut disajikan tabel 10 dan 11 yaitu analisis kualitatif soal pilihan ganda . 1, power point pg pr ipa kelas ix smp tahun 2018. What can we learn from the story above? Berikut ini yang bukan termasuk bioteknologi adalah … Buku ipa kelas ix smp/mts ini disusun dengan pemikiran di atas. Soal ulum biologi kelas ix semester 1. Sahabat rumussoal.com kali ini kami akan menyampaikan artikel dengan materi soal ujian online biologi kelas 9 (ix) tingkat smp dan mts, . Fluida statis dan penerapannya daftar soal:

Berikut disajikan tabel 10 dan 11 yaitu analisis kualitatif soal pilihan ganda .

1)mahasiswa jurusan biologi, universitas negeri padang. What can we learn from the story above? Download pg smp/sma semester i/ii . Bahwa terjadi miskonsepsi pada siswa kelas ix smpn 7 padang tentang materi fotosintesis dengan. 1, power point pg pr ipa kelas ix smp tahun 2018. From the story we know …. Bidang ilmu biologi dipakai sebagai landasan (platform) pembahasan. Yuk lihat 5+ pembahasan soal biologi kelas 9 semester 1. Buku ipa kelas ix smp/mts ini disusun dengan pemikiran di atas. Fluida statis dan penerapannya daftar soal: Sahabat rumussoal.com kali ini kami akan menyampaikan artikel dengan materi soal ujian online biologi kelas 9 (ix) tingkat smp dan mts, . 9, power point pg pr biologi kelas xii sma tahun 2018. Soal ulum biologi kelas ix semester 1.

Soal Biologi Kelas Ix Smp Semester 1 / Soal Biologi Kelas 9 - Yuk lihat 5+ pembahasan soal biologi kelas 9 semester 1.. Kunci jawaban di bawah soal. 1, power point pg pr ipa kelas ix smp tahun 2018. Sahabat rumussoal.com kali ini kami akan menyampaikan artikel dengan materi soal ujian online biologi kelas 9 (ix) tingkat smp dan mts, . Smp tunas bangsa kota makassar. 1)mahasiswa jurusan biologi, universitas negeri padang.

Posting Komentar untuk "Soal Biologi Kelas Ix Smp Semester 1 / Soal Biologi Kelas 9 - Yuk lihat 5+ pembahasan soal biologi kelas 9 semester 1."